Toggle navigation
NTHU Online Judge
Contest
Problem
Submit
Status
Login
Register
12761 - Sparse Polynomial Addition
Status
|
Limits
Submit
×
Close
Limits
Time
Memory
Case 1
1 sec
32 MB
Case 2
1 sec
32 MB
Case 3
1 sec
32 MB
Case 4
1 sec
32 MB
Case 5
1 sec
32 MB
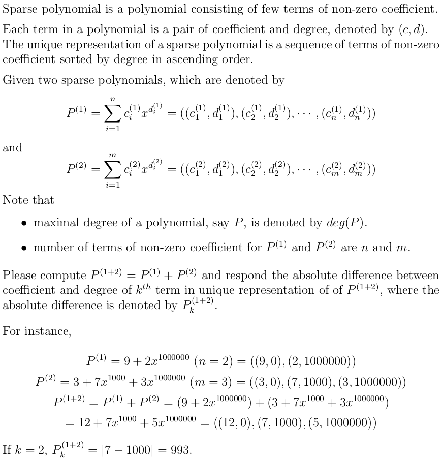
Description
Input
Output
Sample Input
Download
2 9 0 2 1000000 3 3 0 7 1000 3 1000000 2
Sample Output
Download
993
Tags
2020_Spring_DS_Hon
Discuss